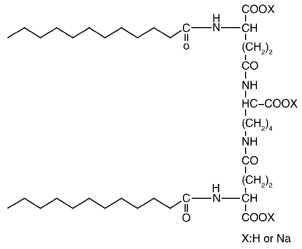
双锁结构的阴离子表面活性剂,植物来源,具高生物降解性。
PELLICER ™ 拥有与神经酰胺 II 相似的双链和酰胺键结构,对皮肤和毛发有极佳的亲和力。
不同于一般结构的表面活性剂,PELLICER™ 在低浓度下就能形成稳定胶束,
其临界胶束浓度比单体结构的小 50 倍(大约为固含量的 0.01 wt%)。
PELLICER™ 具有乳化、包裹、分散、增溶、修复等多种优越特性,还能制备 D 相胶和 α 凝胶等特殊剂型产品。
无 HLB 值依赖性,可乳化不同 HLB 值的油脂,如植物油、酯类、硅油、蜡、化学防晒剂等;可作为挽救型辅助乳化剂,提高配方稳定性。

ESSENTIAL INFORMATION
二(月桂酰胺谷氨酰胺)赖氨酸钠、丁二醇、水
无色至浅黄色透明液体
超强乳化功能:0.03%可乳化20%的油脂(包括固体蜡)
适用制备D-相胶、α-凝胶、多层纳米囊泡、脂质体等特殊剂型
无人能超越的乳化体系:水包油防水体系
改善粉体的分散性,提高膏体中粉体的延展性,做到不卡粉。
类神经酰胺结构、皮肤屏障修复
修复毛鳞片、强韧发芯
MORE INFORMATION